网站首页
邱老空间
学习参考
家庭教育
传统文化
生活百科
书法频道
艺术专栏
教育文选
书斋一
书斋二
书斋三
当前位置:
首页
>
艺术专栏
>
戏曲曲谱
> 详细内容
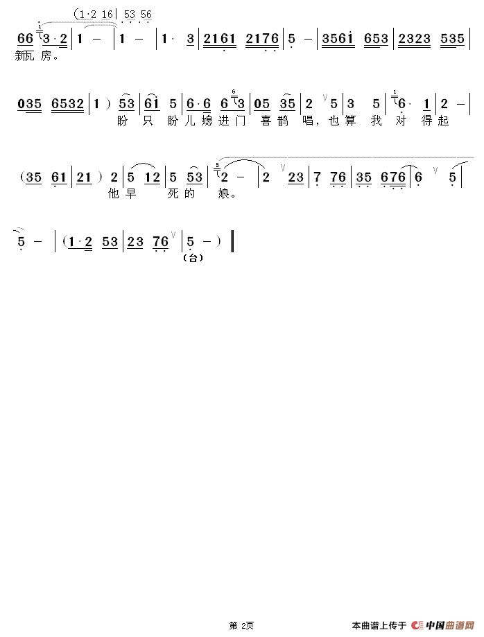
盼只盼儿媳进门喜鹊唱(《桃园喜》吴有福唱段)
发布时间:2016/7/6 阅读次数:210 字体大小: 【
小
】 【
中
】【
大
】
上一篇:
舍不得有情意莺莺贤妹(《西厢记》张君瑞唱段)
下一篇:
豫剧小合唱:颂奥运
我要评论
评论内容...
匿名发表
[
添加到收藏夹
]
发表评论:(匿名发表无需登录,已登录用户可直接发表。) 登录状态:
未登录
最新评论
所有评论[0]
暂无已审核评论!
版权所有:邱老之家
地址:郑州市金水区丰庆路街道正商世纪港湾
copyright 2009-2025
中网
(zw78.com)
京
ICP
备
09031998
号